各学院(学部):
根据《学生资助资金管理办法》(财教〔2021〕310号)和《关于做好2025年普通高校本专科生国家奖学金评审工作的通知》(教助中心〔2025〕18号)文件精神,结合《关于印发<陕西师范大学本科生国家奖学金、国家励志奖学金、国家助学金评审办法(修订)>的通知》(陕师校发〔2021〕68号)要求,我校将开展2025年国家奖学金、国家励志奖学金和国家助学金的评选工作。现将相关工作安排如下:
一、奖助标准及名额分配
(一)国家奖学金
国家奖学金每生奖励10000元,名额根据院部学生人数比例分配,原则上按照二年级20%、三年级40%、四年级40%的比例划分。
(二)国家励志奖学金
国家励志奖学金每生奖励6000元,名额根据院部非公费生中家庭经济困难学生人数比例分配,原则上按照二年级20%、三年级40%、四年级40%的比例划分。
(三)国家助学金
国家助学金划分为两个等级(其中一等国家助学金资助标准为每人每年4300元,二等国家助学金资助标准为每人每年3300元,实际资助金额根据最终受助人数略微浮动),各院部按照本单位实际情况调整分配各年级名额,评选办法见附件1,具体名额分配见附件2。
二、评审流程
(一)学生申请阶段。申请学生如实填写并打印申请表,随同成绩单、志愿服务时长证明、各类证书、困难证明等佐证材料提交至辅导员处。
(二)班级评议阶段。各班级采取民主选举和组织推荐相结合的方式推选出奖助学金的班级评议小组成员和组长。班级评议小组根据评选条件,对申请者进行综合讨论,并将评议结果反馈至辅导员处,辅导员处理班级评审学生意见并提请院部评审。
(三)院部审核报送阶段。各院部成立由院部主要负责人、党委(总支)副书记、分团委(总支)书记、辅导员、教师代表、学生代表组成的院部国家奖助学金评审小组,根据评选条件和名额分配情况对各班级推荐上报的拟获奖受助学生从思想政治表现、学习生活、社会实践和综合素质等方面进行全面评议,提出院部初选名单,完成评审意见并报送学校评审。
国家奖助学金拟推荐名单须在院部公示3个工作日。纸质版和电子版材料提交截止时间为10月9日(星期四)下午5:00,电子版发送至qgzxzx@snnu.edu.cn邮箱。
注:国家奖学金评审使用全国评审系统,学生申请审批表不得改动原表格式,否则无法正常导入系统;学院提交的国家奖学金申请表无需学生及副书记签字盖章(国家励志奖学金、国家助学金需正常签字盖章),待学校上传系统审核通过后会统一导出国家奖学金制式申请审批表返给各院部进行签字盖章;学生审批表命名规则为“姓名+身份证+材料名称”。例如:张三110000199910018888申请审批表。)
(四)材料审核与师生评议团评议阶段。党委学工部(武装部、学生处)对院部提交的材料进行审核,组建师生评议团对报送的申请者进行综合评议,提出我校国家奖助学金的拟获奖受助学生建议名单,并提请学生工作指导委员会奖助工作组把关审议。
(五)学校评审阶段。学校学生工作指导委员会奖助工作组进行把关审议后,提交校长办公会审定,审定结果由学生资助管理中心组织在全校公示5个工作日。
(六)学校公示无异议后报上级部门审批。
三、相关评审说明
(一)根据《关于印发<陕西师范大学本科生国家奖学金、国家励志奖学金、国家助学金评审办法(修订)>的通知》(陕师校发〔2021〕68号)要求,申请国家奖学金的学生上一学年度必修课成绩总排名为专业前10%(必修课无不及格课程),综合考评成绩排名为前10%,综合考评中“体育”“美育”和“劳动教育”素质分原则上均须达到良好及以上标准。
申请国家励志奖学金的学生上一学年度必修课成绩总排名为专业前20%(必修课无不及格课程),综合考评成绩排名为前20%,综合考评中“体育”“美育”和“劳动教育”素质分原则上均须达到良好及以上标准。
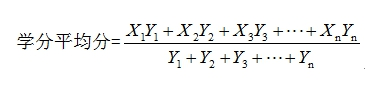
(二)学校各类奖助学金评选成绩排名按照加权学分成绩计算,学分平均分计算公式:

(Xi为每门必修课考试成绩,Yi为相应必修课学分,n为参加考评的必修课总数)
(三)同一学年内,国家奖学金和国家励志奖学金不能同时申请并获得,获得国家奖学金或国家励志奖学金可同时申请获得国家助学金。
(四)根据《关于印发<陕西师范大学家庭经济困难学生认定办法(修订)>的通知》(陕师校发〔2019〕133号)要求,国家励志奖学金、国家助学金拟获奖受助学生应通过学校统一组织的家庭经济困难认定,相关认定材料由院部负责审核归档。国家励志奖学金的参评学生应为在校学生中(公费生除外)二年级以上(含二年级)的全日制本科(含第二学士学位)学生中品学兼优的家庭经济困难学生。
(五)申请学生若有成绩排名达不到获奖受助条件,但综合条件和表现非常突出,学生所在院部综合评议认为应该推荐获奖受助的,院部须出具单行说明材料,由院部党委(总支)副书记签字并加盖院部公章。
(六)按照学校《关于在资助工作中进一步引导大学生参与志愿服务的实施意见》(师学〔2011〕12号)要求,国家奖助学金评选要求拟获奖学生在上一学年参加校内外志愿服务活动时数累计不少于30小时。由学生登陆第二课堂成绩单系统自行打印带水印的《陕西师范大学大学生志愿服务考核认证表》,院部团委(总支)负责审核并盖章。
(七)申请、评议及纸质版材料报送均须按照相关要求填写规范(见附件5)。申请时须对申请理由表述全面、详实,从学习成绩、社会实践、创新能力、综合素质等方面如实反映个人情况。各级评议意见应简明扼要、重点突出。院部提交的纸质版材料应当严格按照标准,字迹清晰、信息完整、材料全面。
四、相关要求
(一)高度重视,广泛宣传。各院部要高度重视本年度国家奖助学金评选工作,通过晚点名、主题班会、新媒体平台等途径向学生积极宣传国家和学校的资助政策,做到人人知晓。同时要“以评促学”,通过挖掘优秀学生的典型事迹,积极营造良好的校风学风。
(二)严格评审,确保公平。各院部要严格按照我校国家奖助学金管理评选办法中规定的申请条件、评审程序和评审要求,认真做好学生基本信息的核实工作,坚持公开、公平、公正、择优的原则,严格把关,认真评审,切实做好评选工作。
(三)规范流程,注重细节。院部意见处需详细填写审查意见,不能简单明了,敷衍了事,国家奖学金评审意见不能雷同;院部党委(总支)副书记签名和加盖院部行政公章,不要出现印章模糊不清、倒章、错位、糊章等情况,签名处不能用签名章代替,需要手签。
(四)有序推进,按时报送。各院部要严格遵照通知中评选工作进度和时间安排,把握好时间节点和工作节奏,按时报送国家奖助学金相关材料,准时高效完成报送工作。
联系人:魏老师、李老师
联系电话:029-85310324
附件1:陕西师范大学本科生国家奖助学金评审办法(修订).pdf
附件2:2025年国家奖学金、国家励志奖学金、国家助学金名额分配表.doc
附件3:陕西师范大学2025年国家奖助学金材料报送说明及要求.xlsx
附件4:2025年国家奖学金、国家励志奖学金、国家助学金汇总表(报送样表).zip
附件5:国家奖学金、国家励志奖学金、国家助学金申请表填写说明.zip
党委学生工作部(武装部、学生处)
2025年9月19日